石英晶体谐振器(英文quartz crystal unit或quartz crystal resonator),或晶体振荡器(英文crystal oscillator),简写为晶振,英文简写为Xtal或X'tal(或全大写),简称石英晶体或晶振,是利用石英晶体(又称水晶)的压电效应,用来产生高精度振荡频率的一种电子器件,属于被动器件。该器件主要由石英晶片、基座、外壳、银胶、银等成分组成。根据引线状况可分为直插(有引线)与表面贴装(无引线)两种类型。现在常见的主要封装型号有HC-49U、HC-49/S、GLASS、UM-1、UM-4、UM-5与SMD。
历史
压电效应是由雅克·居里与皮埃尔·居里于1880年发现。保罗·朗之万在第一次世界大战期间首先探讨了石英谐振器在声纳上的应用。第一个由晶体控制的电子式振荡器,则是在1917年使用罗谢尔盐所作成,并于1918年由贝尔电话实验室的Alexander M. Nicholson取得专利,虽然与同时申请专利的Walter Guyton Cady曾有过争议。 Cady于1921年制作了第一个石英晶体振荡器。对于石英晶体振荡器的其他早期创新有贡献的还有皮尔斯(G. W. Pierce)与Louis Essen。
了解石英晶体和振荡器
石英晶体振荡器克服了影响振荡器频率稳定性的一些因素。这些通常包括:温度变化、负载变化以及直流电源电压的变化等等。
通过正确选择用于谐振反馈电路的元件(包括放大器),可以大大提高输出信号的频率稳定性。但是,从普通的LC和RC储罐电路中可以获得的稳定性是有限的。
为了获得非常高水平的振荡器稳定性,通常使用石英晶体作为频率确定器件来生产另一种类型的振荡器电路,通常称为石英晶体振荡器(XO)。
当电压源施加到一小块薄石英晶体上时,它开始改变形状,产生一种称为压电效应的特性。
这种压电效应是晶体的特性,电荷通过改变晶体的形状产生机械力,反之亦然,施加在晶体上的机械力会产生电荷。
然后,压电设备可以归类为换能器,因为它们将一种能量转换为另一种能量(电到机械或机械到电)。这种压电效应产生机械振动或振荡,可用于替代以前振荡器中的标准 LC 槽电路。
有许多不同类型的晶体物质可以用作振荡器,其中对于电子电路来说最重要的是石英矿物,部分原因是它们具有更高的机械强度。
石英晶体振荡器中使用的石英晶体是一块非常小的薄块或切割石英晶圆,两个平行的表面经过金属化处理,以形成所需的电气连接。一块石英晶体的物理尺寸和厚度受到严格控制,因为它会影响振荡的最终或基频。基频通常称为晶体“特征频率”。
一旦切割和成型,晶体就不能在任何其他频率下使用。换句话说,它的大小和形状决定了它的基本振荡频率。
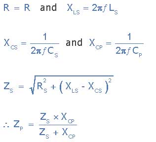
晶体特征或特征频率与其在两个金属化表面之间的物理厚度成反比。机械振动晶体可以用由低电阻 R、大电感 L 和小电容 C 组成的等效电路表示,如下所示。
石英晶体等效模型

石英晶体的等效电路显示串联 RLC 电路,它代表晶体的机械振动,与电容 Cp 并联,它代表晶体的电气连接。石英晶体振荡器倾向于朝着其“串联谐振”工作。
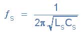
晶体的等效阻抗具有串联谐振,其中 Cs 与电感谐振,Ls 在晶体工作频率处谐振。该频率称为晶体串联频率 ƒs。
除了该串联频率外,还有第二个频率点,这是由于 Ls 和 Cs 与并联电容器 Cp 谐振时产生的并联谐振而建立的,如图所示。
晶体阻抗与频率的关系
![]() |
![]() |
上面晶体阻抗的斜率表明,随着频率在其端子上的增加。在特定频率下,串联电容器 Cs 和电感器 Ls 之间的相互作用会产生串联谐振电路,将晶体阻抗降低到最小值并等于 Rs。该频率点称为晶体级数谐振频率 ƒs,低于 ƒs 的晶体是电容性的。
当频率增加到该串联谐振点以上时,晶体的行为类似于电感器,直到频率达到其并联谐振频率 ƒp。在此频率点,串联电感器 Ls 和并联电容器 Cp 之间的相互作用创建了一个并联调谐的 LC 谐振电路,因此晶体两端的阻抗达到其最大值。
然后我们可以看到石英晶体是串联和并联调谐谐振电路的组合,在两个不同的频率下振荡,两者之间的差异非常小,具体取决于晶体的切割。
此外,由于晶体可以在其串联或并联谐振频率下工作,因此晶体振荡器电路需要调谐到一个或另一个频率,因为不能同时使用两者。
因此,根据电路特性,石英晶体可以充当电容器、电感器、串联谐振电路或并联谐振电路,为了更清楚地证明这一点,我们还可以绘制晶体电抗与频率的关系,如图所示。
晶体电抗与频率的关系
![]() |
![]() |
电抗相对于上述频率的斜率表明,频率 ƒs 处的串联电抗与 Cs 成反比,因为低于 ƒs 和高于 ƒp 的晶体呈电容状。在频率 ƒs 和 ƒp 之间,当两个并联电容抵消时,晶体呈电感状。
那么晶体级数谐振频率的公式 ƒs 给出为:
串联谐振频率

当串联 LC 支路的电抗等于并联电容器的电抗 Cp 时,会出现并联谐振频率 ƒp,并列谐振频率 ƒp 为:
并联谐振频率

石英晶体振荡器示例 No1
石英晶体具有以下值:Rs = 6.4Ω,Cs = 0.09972pF和Ls = 2.546mH。如果其端子两端的电容 Cp 在 28.68pF 时测量,则计算晶体的基振荡频率及其次级谐振频率。
晶体系列谐振频率ƒS是:

晶体的平行谐振频率 ƒP

我们可以看到,晶体的基频 ƒs 和 ƒp 之间的差异很小,约为 18kHz (10.005MHz – 9.987MHz)。然而,在这个频率范围内,晶体的 Q 因子(质量因数)非常高,因为晶体的电感远高于其电容或电阻值。我们的晶体在串联谐振频率下的 Q 因子给出为:
晶体振荡器 Q 因子

那么我们晶体示例的 Q 因子,大约 25,000,就是因为这个高XL/R率。大多数晶体的 Q 因子在 20,000 到 200,000 之间,而我们之前看到的良好的 LC 调谐槽电路将远低于 1,000。这种高 Q 因子值还有助于晶体在其工作频率下提高频率稳定性,使其成为构建晶体振荡器电路的理想选择。
因此,我们已经看到石英晶体的谐振频率与电调谐的 LC 槽电路相似,但 Q 因子要高得多。这主要是由于其低串联电阻Rs。因此,石英晶体是振荡器,尤其是极高频振荡器的绝佳元件选择。
典型的晶体振荡器的振荡频率范围从大约 40kHz 到远高于 100MHz,具体取决于其电路配置和所使用的放大器件。晶体的切割也决定了它的行为方式,因为一些晶体会以多个频率振动,产生称为泛音的额外振荡。
此外,如果晶体的厚度不是平行或均匀的,它可能具有两个或多个谐振频率,基频都产生所谓的谐波,例如二次或三次谐波。
一般来说,石英晶体的基本振荡频率比它周围的次级谐波更强或更明显,所以这就是使用的频率。
我们在上图中看到,晶体等效电路有三个电抗元件,两个电容器和一个电感器,所以有两个谐振频率,最低的是串联谐振频率,最高是并联谐振频率。
我们在前面的教程中已经看到,如果放大器电路的环路增益大于或等于 1 并且反馈为正,则放大器电路将振荡。在石英晶体振荡器电路中,振荡器将在晶体的基本并联谐振频率下振荡,因为当施加电压源时,晶体总是想要振荡。
然而,也可以将晶体振荡器“调谐”到基频的任何偶次谐波(2、4、8 等),这些通常被称为谐波振荡器,而泛音振荡器以基频的奇数倍振动,3、5、11 等)。通常,在泛音频率下工作的晶体振荡器使用其串联谐振频率来实现。
Colpitts 石英晶体振荡器
晶体振荡器电路通常使用双极晶体管或 FET 构建。这是因为,尽管运算放大器可用于许多不同的低频 (≤100kHz) 振荡器电路,但运算放大器不具备在适合 1MHz 以上晶体的更高频率下成功工作的带宽。
晶体振荡器的设计与我们在上一教程中看到的 Colpitts 振荡器的设计非常相似,只是提供反馈振荡的 LC 槽电路已被石英晶体取代,如下所示。
Colpitts 晶体振荡器

这种类型的晶体振荡器是围绕一个公共集电极(发射极-跟随器)放大器设计的。The R1和 R2电阻网络设置基极上的直流偏置电平,而发射极电阻 RE设置输出电压电平。电阻R2设置为尽可能大,以防止负载到并联的晶体上。
晶体管 2N4265 是一种通用 NPN 晶体管,以通用集电极配置连接,能够以超过 100Mhz 的开关速度运行,远高于晶体基频,基频可能在大约 1MHz 到 5MHz 之间。
上面的Colpitts 晶体振荡器电路电路图显示,电容器、C2 和 C3 分流晶体管的输出,从而降低反馈信号。因此,晶体管的增益限制了C2和C3的最大电容值。输出幅度应保持在较低水平,以避免晶体中功率耗散过大,否则可能会因过度振动而损坏自身。
皮尔斯振荡器
石英晶体振荡器的另一种常见设计是皮尔斯振荡器。Pierce振荡器在设计上与之前的Colpitts振荡器非常相似,非常适合使用晶体作为其反馈电路的一部分来实现晶体振荡器电路。
皮尔斯振荡器主要是一个串联谐振调谐电路(与科尔皮茨振荡器的并联谐振电路不同),它使用 JFET 作为其主放大器件,因为 FET 提供非常高的输入阻抗,晶体通过电容器 C1 连接在漏极和栅极之间,如下所示。
皮尔斯晶体振荡器

在这个简单的电路中,晶体决定振荡频率并以其串联谐振频率工作,ƒs 在输出和输入之间提供低阻抗路径。有一个 180o谐振时相移,使反馈为正。输出正弦波的幅度限制在漏极端的最大电压范围。
电阻器 R1 控制反馈量和晶体驱动,而射频扼流圈 RFC 两端的电压在每个周期内反转。大多数数字时钟、手表和计时器都以某种形式或其他形式使用皮尔斯振荡器,因为它可以使用最少的组件来实现。
除了使用晶体管和 FET 外,我们还可以通过使用 CMOS 逆变器作为增益元件来创建与 Pierce 振荡器类似的简单基本并联谐振晶体振荡器。基本石英晶体振荡器由单个反相施密特触发逻辑门(如 TTL 74HC19 或 CMOS 40106、4049 类型)、一个电感晶体和两个电容器组成。
这两个电容器决定了晶体负载电容的值。串联电阻有助于限制晶体中的驱动电流,并将逆变器输出与电容-晶体网络形成的复杂阻抗隔离开来。
CMOS 石英晶体振荡器

晶体以其串联谐振频率振荡。CMOS逆变器最初通过反馈电阻R1偏置到其工作区域的中间。这确保了逆变器的 Q 点处于高增益区域。这里使用1MΩ值的电阻,但只要大于1MΩ,其值就不重要。一个额外的逆变器用于缓冲从振荡器到连接负载的输出。
逆变器提供180o相移和晶体电容器网络的额外 180o振荡所必需的。CMOS 晶体振荡器的优点是它总是会自动重新调整以保持这种 360 度o振荡的相移。
与以前产生正弦输出波形的基于晶体管的晶体振荡器不同,由于 CMOS 逆变器振荡器使用数字逻辑门,因此输出是在高电平和低电平之间振荡的方波。当然,最大工作频率取决于所用逻辑门的开关特性。
微处理器晶体石英时钟
我们不能在不提到微处理器晶体时钟的情况下完成石英晶体振荡器教程。几乎所有微处理器、微控制器、Arduino、PIC 和 CPU 通常使用石英晶体振荡器作为其频率确定器件进行作。
晶体生成时钟波形以实现完美的定时,因为正如我们已经知道的那样,与电阻-电容器 (RC) 或电感-电容器 (LC) 振荡器相比,晶体振荡器提供最高的精度和频率稳定性。
CPU 时钟决定了处理器的运行速度和处理数据的速度,时钟速度为 1MHz 的微处理器、PIC 或微控制器意味着它可以在每个时钟周期内每秒处理 100 万次数据。通常,产生微处理器时钟波形所需的只是一个晶体和两个值在 15 到 33pF 之间的陶瓷电容器,如下所示。
微处理器振荡器

大多数微处理器、微控制器和 PIC 都有两个标记为 OSC1 和 OSC2 的振荡器引脚,用于连接到外部石英晶体电路、标准 RC 振荡器网络甚至陶瓷谐振器。
在这种类型的微处理器应用中,石英晶体振荡器产生一系列连续方波脉冲,其基频由晶体本身控制。该基频调节控制处理器设备的指令流。例如,主时钟和系统时序。
夸脱晶体振荡器示例 No2
石英晶体被切割后具有以下值:Rs = 1kΩ、Cs = 0.05pF、Ls = 3H 和 Cp = 10pF。计算晶体串联和并联振荡频率。
串联振荡频率为:

并联振荡频率为:

那么晶体的振荡频率将在 411kHz 和 412kHz 之间。
晶振的应用
晶体振荡器体积小,成本低,因此广泛用于电子战系统、通信系统、制导系统、微处理器、微控制器、空间跟踪系统、测量仪器、医疗设备、计算机、数字系统、仪器仪表、锁相环系统、调制解调器、传感器、磁盘驱动器、船舶系统、电信、发动机控制系统、时钟、全球定位系统 (GPS)、有线电视系统、摄像机、玩具、视频游戏、无线电系统、手机、计时器等。



